- Today
- Total
| 일 | 월 | 화 | 수 | 목 | 금 | 토 |
|---|---|---|---|---|---|---|
| 1 | 2 | 3 | 4 | |||
| 5 | 6 | 7 | 8 | 9 | 10 | 11 |
| 12 | 13 | 14 | 15 | 16 | 17 | 18 |
| 19 | 20 | 21 | 22 | 23 | 24 | 25 |
| 26 | 27 | 28 | 29 | 30 |
- 정렬
- 프로그래머스
- Algorithm
- 코테
- 프로그래머스 레벨2
- 스위프트
- programmers
- Design Pattern
- 코딩테스트
- swift 코딩테스트
- rxswift
- swift 알고리즘
- 인생 명언
- 디자인패턴
- 명언
- programmer
- dart
- 프로그래머스 swift
- 자료구조
- coding test
- 감성에세이
- swift split
- 다트
- 정렬 알고리즘
- 스위프트디자인패턴
- sort
- 정렬알고리즘
- datastructure
- swift
- 알고리즘
Bill Kim's Life...
[자료구조] DFS(깊이 우선 탐색) : 그래프, 모든 경로를 구해보자 본문
자료구조의 한 종류인 DFS(깊이 우선 탐색)에 대해서 살펴봅니다.
#. 구독 대상
- 컴퓨터 및 소프트웨어 공학과 관련자
- 자료구조 개념을 잡고 싶으신 분
- 소프트웨어 관련 종사자
- 기타 컴퓨터 공학에 관심이 있으신 분
- 기타 소프트웨어 개발과 지식에 관심이 있으신 모든 분들
- Swift 언어를 활용하여 자료구조를 공부해보고 싶으신 분들
DFS(깊이 우선 탐색)
DFS(Depth-First Search)란 깊이 우선 탐색으로서 그래프에서 모든 경로를 탐색하는데 사용하는 알고리즘입니다.
가중치를 가지지 않는 (무)방향 그래프에서 모든 경로의 경우를 구해볼 때 많이 사용하는 방식입니다.
DFS의 기본 아이디어는 시작 노드의 인접한 이동 가능한 노드를 선택하여 가다가 더이상 갈 수 있는 길이 없을 경우 다시 돌아와서 다른 노드로 이동하고 결국 더이상 이동할 노드가 없을 경우 모든 탐색을 종료하는 방식입니다.
주로 재귀 호출 내지는 스택을 활용하여 사용합니다.
기본 동작
DFS의 기본적인 알고리즘 흐름은 다음과 같습니다.
크게 재귀 호출 방식 또는 스택 방식으로 구현할 수 있습니다.
- 재귀 호출 방식
1. 시작 노드를 정하고 방문한 것으로 표시
2. 탐색한 리스트를 위한 배열을 선언
3. 시작 노드의 인접 노드 리스트만큼 반복문을 돌린다.
4. 반복분에서 현재 노드가 방문한 적이 없다면 재귀로 DFS 탐색
5. 재귀 DFS 탐색 후 탐색한 노드 탐색 리스트 배열에 추가
6. 인접 노드가 없으면 탐색 종료
- 스택 방식
1. 시작 노드를 정하고 스택에 넣는다.(push)
2. 스택에서 노드를 하나 꺼낸다.(pop)
3. 꺼낸 노드와 인접한 노드가 있는지 확인한다.
4. 인접한 노드가 있고 이미 방문한 노드했던 노드가 아니라면 해당 노드를 스택에 넣는다.(push)
5. 만약 3번에서 더이상 인접 노드가 없다면 스택에서 노드를 하나 꺼낸다.(pop)
6. 다시 3번에서 5번 과정을 스택이 비워질 때까지 계속 반복한다.
탐색 과정 : 무방향 그래프
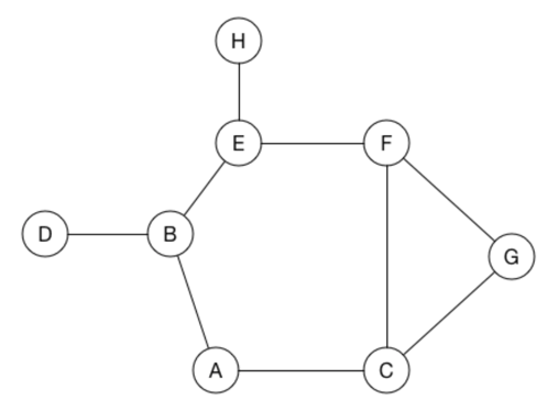
앞서 설명한 알고리즘을 아래의 예시를 통해서 살펴보겠습니다.
DFS 알고리즘을 통하여 A 노드 부터의 탐색 과정을 살펴보면 다음과 같습니다.

(1)

(2)

(3)

(4)

(5)

(6)

(7)

(8)

(9)

(10)

최종 경로를 살펴보면 아래와 같습니다.
node : ["A"]
neighbors : ["A"]
node : ["B"]
neighbors : ["B"]
node : ["D"]
neighbors : ["B", "D"]
node : ["E"]
neighbors : ["E"]
node : ["H"]
neighbors : ["E", "H"]
node : ["F"]
neighbors : ["F"]
node : ["G"]
neighbors : ["A", "B", "D", "E", "H", "F", "G"]
node : ["C"]
최종 경로 : ["A", "B", "D", "E", "H", "F", "G", "C"]
방향 그래프에서의 모든 경로 탐색
이번에는 방향 그래프에서의 모든 경로 탐색에 대한 또다른 예제를 살펴보겠습니다.
만약 1번 노드에서 출발하여 5번 노드까지 갈 수 있는 경로는 어떠한 경로가 있는지 한번 살펴보겠습니다.

1번 노드를 시작으로 하여 최종 5번 노드까지 재귀 탐색 과정으로 한번 진행해 보면 아래와 같은 경로들을 구할 수 있습니다.






모든 경로를 구해보면 아래와 같이 나올 수 있음을 알 수 있습니다.
1 -> 2 -> 4 -> 5
1 -> 2 -> 5
1 -> 3 -> 2 -> 4 -> 5
1 -> 3 -> 2 -> 5
1 -> 3 -> 4 -> 5
1 -> 4 -> 5
Implementation
Swift를 활용하여 가장 기본적인 위에서 살펴본 2개의 예제를 직접 구현해보겠습니다. 우선 필요한 객체와 메소드는 아래와 같습니다.
필요한 객체
- 정점(Vertex) 객체
- 간선(Edge) 객체
- 그래프(AdjacencyListGraph) 객체
- depthFirstSearch : DFS(깊이 우선 탐색)를 실행하는 함수
Vertex 클래스
public struct Vertex<T>: Equatable where T: Hashable {
public var data: T
public let index: Int
}
extension Vertex: CustomStringConvertible {
public var description: String {
return "\(index): \(data)"
}
}
extension Vertex: Hashable {
public func hash(into hasher: inout Hasher) {
hasher.combine(data)
hasher.combine(index)
}
}
public func ==<T>(lhs: Vertex<T>, rhs: Vertex<T>) -> Bool {
guard lhs.index == rhs.index else {
return false
}
guard lhs.data == rhs.data else {
return false
}
return true
}
Edge 클래스
public struct Edge<T>: Equatable where T: Hashable {
public let from: Vertex<T>
public let to: Vertex<T>
public let weight: Double?
}
extension Edge: CustomStringConvertible {
public var description: String {
guard let unwrappedWeight = weight else {
return "\(from.description) -> \(to.description)"
}
return "\(from.description) -(\(unwrappedWeight))-> \(to.description)"
}
}
extension Edge: Hashable {
public func hash(into hasher: inout Hasher) {
hasher.combine(from.description)
hasher.combine(to.description)
hasher.combine(weight)
}
}
public func == <T>(lhs: Edge<T>, rhs: Edge<T>) -> Bool {
guard lhs.from == rhs.from else {
return false
}
guard lhs.to == rhs.to else {
return false
}
guard lhs.weight == rhs.weight else {
return false
}
return true
}
AbstractGraph 클래스
open class AbstractGraph<T>: CustomStringConvertible where T: Hashable {
public required init() {}
public required init(fromGraph graph: AbstractGraph<T>) {
for edge in graph.edges {
let from = createVertex(edge.from.data)
let to = createVertex(edge.to.data)
addDirectedEdge(from, to: to, withWeight: edge.weight)
}
}
open func createVertex(_ data: T) -> Vertex<T> {
fatalError("abstract function called")
}
open func addDirectedEdge(_ from: Vertex<T>, to: Vertex<T>, withWeight weight: Double?) {
fatalError("abstract function called")
}
open func addUndirectedEdge(_ vertices: (Vertex<T>, Vertex<T>), withWeight weight: Double?) {
fatalError("abstract function called")
}
open func weightFrom(_ sourceVertex: Vertex<T>, to destinationVertex: Vertex<T>) -> Double? {
fatalError("abstract function called")
}
open func edgesFrom(_ sourceVertex: Vertex<T>) -> [Edge<T>] {
fatalError("abstract function called")
}
open var description: String {
fatalError("abstract property accessed")
}
open var vertices: [Vertex<T>] {
fatalError("abstract property accessed")
}
open var edges: [Edge<T>] {
fatalError("abstract property accessed")
}
}
AdjacencyListGraph 클래스
private class EdgeList<T> where T: Hashable {
var vertex: Vertex<T>
var edges: [Edge<T>]?
init(vertex: Vertex<T>) {
self.vertex = vertex
}
func addEdge(_ edge: Edge<T>) {
edges?.append(edge)
}
}
open class AdjacencyListGraph<T>: AbstractGraph<T> where T: Hashable {
fileprivate var adjacencyList: [EdgeList<T>] = []
public required init() {
super.init()
}
public required init(fromGraph graph: AbstractGraph<T>) {
super.init(fromGraph: graph)
}
open override var vertices: [Vertex<T>] {
var vertices = [Vertex<T>]()
for edgeList in adjacencyList {
vertices.append(edgeList.vertex)
}
return vertices
}
open override var edges: [Edge<T>] {
var allEdges = Set<Edge<T>>()
for edgeList in adjacencyList {
guard let edges = edgeList.edges else {
continue
}
for edge in edges {
allEdges.insert(edge)
}
}
return Array(allEdges)
}
open override func createVertex(_ data: T) -> Vertex<T> {
// check if the vertex already exists
let matchingVertices = vertices.filter { vertex in
return vertex.data == data
}
if matchingVertices.count > 0 {
return matchingVertices.last!
}
// if the vertex doesn't exist, create a new one
let vertex = Vertex(data: data, index: adjacencyList.count)
adjacencyList.append(EdgeList(vertex: vertex))
return vertex
}
open override func addDirectedEdge(_ from: Vertex<T>, to: Vertex<T>, withWeight weight: Double?) {
let edge = Edge(from: from, to: to, weight: weight)
let edgeList = adjacencyList[from.index]
if edgeList.edges != nil {
edgeList.addEdge(edge)
} else {
edgeList.edges = [edge]
}
}
open override func addUndirectedEdge(_ vertices: (Vertex<T>, Vertex<T>), withWeight weight: Double?) {
addDirectedEdge(vertices.0, to: vertices.1, withWeight: weight)
addDirectedEdge(vertices.1, to: vertices.0, withWeight: weight)
}
open override func weightFrom(_ sourceVertex: Vertex<T>, to destinationVertex: Vertex<T>) -> Double? {
guard let edges = adjacencyList[sourceVertex.index].edges else {
return nil
}
for edge: Edge<T> in edges {
if edge.to == destinationVertex {
return edge.weight
}
}
return nil
}
open override func edgesFrom(_ sourceVertex: Vertex<T>) -> [Edge<T>] {
return adjacencyList[sourceVertex.index].edges ?? []
}
open override var description: String {
var rows = [String]()
for edgeList in adjacencyList {
guard let edges = edgeList.edges else {
continue
}
var row = [String]()
for edge in edges {
var value = "\(edge.to.data)"
if edge.weight != nil {
value = "(\(value): \(edge.weight!))"
}
row.append(value)
}
rows.append("\(edgeList.vertex.data) -> [\(row.joined(separator: ", "))]")
}
return rows.joined(separator: "\n")
}
}
DFS 함수
// 모든 경로 탐색
func depthFirstSearch(source: NodeGraph) -> [String] {
var nodesExplored = [source.label]
source.visited = true
for edge in source.neighbors {
if !edge.neighbor.visited {
nodesExplored += depthFirstSearch(source: edge.neighbor)
}
}
return nodesExplored
}
// 특정 노드에서 목적지까지의 모든 경로 탐색
func depthFirstSearch(start: Int, end lastNode: Int, edges: [(Int, Int)]) -> [Any] {
var edgeInfo = [Int: Array<Int>]()
for edge in edges {
if var array = edgeInfo[edge.0] {
array.append(edge.1)
edgeInfo[edge.0] = array
} else { edgeInfo[edge.0] = [edge.1] }
}
var result = 0
var paths:[[Any]] = [[]]
func dfs(node: Int, visited: [Int]) {
guard node != lastNode else {
if result < lastNode { paths.append(visited) }
result += 1
return
}
guard let neighbors = edgeInfo[node] else { return }
for edge in neighbors {
guard visited.contains(edge) == false else { continue }
dfs(node: edge, visited: visited + [edge])
}
}
dfs(node: start, visited: [1])
return paths.filter { $0.count != 0 }
}
사용 예시
let graph = Graph()
let nodeA = graph.addNode("A")
let nodeB = graph.addNode("B")
let nodeC = graph.addNode("C")
let nodeD = graph.addNode("D")
let nodeE = graph.addNode("E")
let nodeF = graph.addNode("F")
let nodeG = graph.addNode("G")
let nodeH = graph.addNode("H")
graph.addEdge(nodeA, neighbor: nodeB)
graph.addEdge(nodeA, neighbor: nodeC)
graph.addEdge(nodeB, neighbor: nodeD)
graph.addEdge(nodeB, neighbor: nodeE)
graph.addEdge(nodeC, neighbor: nodeF)
graph.addEdge(nodeC, neighbor: nodeG)
graph.addEdge(nodeE, neighbor: nodeH)
graph.addEdge(nodeE, neighbor: nodeF)
graph.addEdge(nodeF, neighbor: nodeG)
let nodesExplored = depthFirstSearch(source: nodeA)
print(nodesExplored)
// ["A", "B", "D", "E", "H", "F", "G", "C"]
print(depthFirstSearch(start: 1,
end: 5,
edges: [(1, 2), (1, 3), (1, 4), (2, 1),
(2, 4), (2, 5), (3, 2), (3, 4), (4, 5)]))
// [[1, 2, 4, 5], [1, 2, 5], [1, 3, 2, 4, 5], [1, 3, 2, 5], [1, 3, 4, 5]]
이상으로 자료구조의 DFS(깊이 우선 탐색)에 대해서 살펴보았습니다.
감사합니다.
www.slideshare.net/BillKim8/swift-data-structure-graphdfs-234889321
[참고 자료(References)]
[1] Swift로 그래프 탐색 알고리즘을 실전 문제에 적용해보기 - DFS 편 : https://wlaxhrl.tistory.com/88?category=842165
[2] DFS (Depth-First Search) BFS (Breadth-First Search) 개념 : https://hucet.tistory.com/83
[3] [알고리즘] DFS & DFS : https://hyesunzzang.tistory.com/186
[4] 깊이 우선 탐색 : https://ko.wikipedia.org/wiki/깊이_우선_탐색
[5] [Data Structure] 그래프 순회, 탐색(DFS) - 자료 구조 : https://palpit.tistory.com/898
[6] DFS (Depth-First Search) BFS (Breadth-First Search) 개념 : https://hucet.tistory.com/83
[7] Understanding Depth & Breadth-First Search in Swift : https://medium.com/swift-algorithms-data-structures/understanding-depth-breadth-first-search-in-swift-90573fd63a36
[8] Swift) Graph의 DFS를 이용한 경로 찾기 : https://velog.io/@dusdl14/Swift-Graph의-DFS를-이용한-경로-찾기
[9] [알고리즘] BFS & DFS : https://hyesunzzang.tistory.com/186
[10] 자료구조 :: 그래프(2) "탐색, 깊이우선, 너비우선 탐색” : http://egloos.zum.com/printf/v/755736
'CS(컴퓨터 과학) > Data Structure' 카테고리의 다른 글
| [자료구조] BFS(너비 우선 탐색) : 그래프, 최단/최소 경로를 구해보자 (0) | 2020.06.12 |
|---|---|
| [자료구조] Graph(그래프) : 비선형(Non-Linear) 자료구조, 최단거리/최소거리 알고리즘 (0) | 2020.06.12 |
| [자료구조] Binary Tree(이진 트리) : 자식이 2개인 트리, 검색이 빠름 (0) | 2020.06.12 |
| [자료구조] Tree(트리) : 계층적 자료구조 (0) | 2020.06.12 |
| [자료구조] Heap(힙) : 이진 트리를 배열로 표시, 최대값/최소값 빨리 찾기 (0) | 2020.06.12 |
